ACCUEILANNONCEAGENDAANNUAIREETIQUEFAQNVC

information sur bague

Puces, bagues, diamètre de bague, tout ce qui touche à  l'identification des oiseaux.

<<

clint

Avatar du membre

Membre très très actif
Membre très très actif

Messages : 132

Enregistré le : 04 août 2006 16:13

Localisation : lorraine 57

Message par clint » 13 oct. 2006 18:44

information sur bague

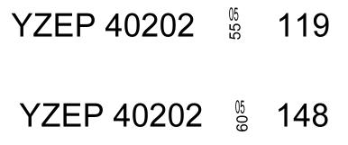
bonjour quelqu'un pourrait'il me dire d'avantage sur ces numéros de bagues?
merci
Fichiers joints
4237_Beringung_1.jpg
4237_Beringung_1.jpg (8.88 Kio) Vu 2026 fois
<<

pistache

Avatar du membre

Membre très assidu
Membre très assidu

Messages : 1986

Enregistré le : 05 déc. 2004 00:43

Localisation : 67240 Kaltenhouse

Message par pistache » 13 oct. 2006 19:31

Que cherche tu précisement comme infos???
-tu es rèsponsable de ce que tu aprivoise (St. Exupery)
<<

clint

Avatar du membre

Membre très très actif
Membre très très actif

Messages : 132

Enregistré le : 04 août 2006 16:13

Localisation : lorraine 57

Message par clint » 13 oct. 2006 20:11

bonsoir, c'est pour savoir de quel pays ils viennent.merci
<<

sebastien

Avatar du membre

Super membre
Super membre

Messages : 4216

Enregistré le : 02 mai 2004 08:48

Localisation : 91 essone

Message par sebastien » 20 oct. 2006 21:42

Bonjour,

Pour ma part je saurais simplement te dire que le numéros d'éleveur est 40202, l'année est 2005, le diamètre 5.5 et 6.0.
Bagues numéros 119 et 148.

Par contre le reste je ne saurais te dire ...

A+
SéB

Retourner vers « Identification des oiseaux »

Développé par phpBB® Forum Software © phpBB Limited
Designed by ST Software for PTF.
Traduit par phpBB-fr.com
 

 

eXTReMe Tracker